设为首页
收藏本站
开启辅助访问
切换到窄版
用户名
Email
自动登录
找回密码
密码
登录
立即注册
论坛
BBS
篮球
足球
乒乓球
网球
桌球
健身
快捷导航
搜索
搜索
热搜:
活动
交友
discuz
本版
帖子
用户
戴因网
»
论坛
›
戴因体育
›
桌球
›
台球中的物理分析
返回列表
查看:
143
|
回复:
3
台球中的物理分析
[复制链接]
台湾号
台湾号
当前离线
积分
7
2
主题
3
帖子
7
积分
新手上路
新手上路, 积分 7, 距离下一级还需 43 积分
新手上路, 积分 7, 距离下一级还需 43 积分
积分
7
发消息
发表于 2022-12-21 16:00:24
|
显示全部楼层
|
阅读模式
(此文是我在2013年4月发表在QQ空间的文章,现在读来,还是有一定的实用价值,决定分享给大家。)
台球中存在碰撞问题、几何问题、摩擦问题等,通过数学物理的方法可以给我们的找到击球方法的理论根据和技术提高的方向。本人仅抛砖引玉,欢迎理工科大神用数学建模和3D力学软件给我们带来更精彩的呈现。
一、碰撞分析
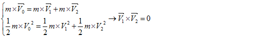
1,当击球者用母球M1击中子球M2时,最关心的其实是两球撞后的运动方向和速度,这直接关系着子球能否落袋和母球的走位是否成功。
如上图,撞前母球速度为V0,撞后为V1,子球撞前静止,撞后速度V2 .
理想化的碰撞为完全非弹性碰撞,即无动量和机械能损失。根据动量守恒定理和机械能守恒定理,得:
由此得到,撞后两球运动方向垂直,由三角函数得:
结论:
撞球之后,两球运动方向垂直,且速度满足三角函数关系,即切球越薄传递给子球的动力越小,母球保留的动力越大。
2,碰撞过程中的旋转
旋转在台球中发生的作用是什么,如何利用旋转呢?
旋转能否在两个物体中传递取决于这两个物体之间的摩擦力Ff,若无摩擦力则无法产生切向作用力,就无法产生转动力矩,旋转就无法传递。
在上述分析的理想状态下无摩擦损失,就无摩擦力,则被撞子球没有从母球获得转动,因此子球仍然保持应有的滚动或者滑动,没有旋转。
那为什么皮头偏心击中母球时,母球带有旋转呢?
原因在于球杆的皮头表面粗糙摩擦系数很大,当它击中母球的偏心时,绕母球中心形成较大的转矩,使母球旋转。巧克粉的使用正是为了增大皮头的摩擦系数
。
既然如此,旋转球的意义在哪里呢?如何利用它呢?
在母球撞子球的过程中旋转不会产生任何影响,但当母球碰到台边时,旋转会影响走位。
如图三,偏右击中母球,将会产生逆时针的旋转,当母球碰到台边,由于台边摩擦力较大,会阻碍母球的旋转,这样台边的摩擦会产生一个水平向右的力,平衡掉母球部分逆时针的旋转转距,并会使母球产生水平向右的速度,这使反弹方向偏右。
结论,
母球的旋转对子球的运动影响不大,但当母球接接触台边时,会影响母球的走位,影响走位的趋势见上图。
二、几何分析
如何选取击球点能保证子球落袋,母球正确走位。这是击球者最关心的问题。
1,在图一中,显然M2运动的方向是袋口方向,那么母球M1的走位方向是M2运动方向的垂直方向。
击球点为图示O点,即:子球M2中心点与袋口连续方向上逆向沿长一个台球直径的点。
这种选点方法就是业内人士所称的“找尾巴法”
。
这种方法非常精确可靠,但要求击球者假想一个沿长线和一个台球距离,当母球与子球或子球与袋口距离太远时未必实用,这需要大家勤加练习才可能克服。下面提供一种适合远距离击球的直观、实用的方法。
2,如图四:
当我们正中击中子球时,小球的偏转角度为0⁰,当我们以无限薄的切角切中子球时,小球的偏角为90⁰(实际上偏角小于90⁰。
在常规的瞄准过程中,以B为瞄准点,假设OB=x*d,求子球运动偏角α。
当两球间距相对球的直径较远时,认为∠MBO=90⁰。
由此,在三角型ABC中,∠B=90⁰,
则,
\angle BCO = arcsin (\frac{OB} {OC}) = arcsin (x)
表一:典型瞄准位置与偏角的关系
x
0
1/4
1/2
3/4
1
∠BCO
0
14.48
30
48.60
90
实际上∠BCO = α + ∠OMB。由于∠OMB 非常小,子球的偏转角α 约等于∠BCO。
结论:
瞄准OA中点击球,子球偏转14.38⁰;瞄准A点击球,子球偏转30⁰;瞄准AB中点击球,子球偏转48.60⁰。
母球与子球越近,实际偏转比上述计算值越小。
实际瞄点过程中,两球相距近则推荐使用“找尾把法”,两球相距远,则推荐使用估算法。
回复
使用道具
举报
漠漠阳龙
漠漠阳龙
当前离线
积分
3
1
主题
2
帖子
3
积分
新手上路
新手上路, 积分 3, 距离下一级还需 47 积分
新手上路, 积分 3, 距离下一级还需 47 积分
积分
3
发消息
发表于 2022-12-21 16:01:17
|
显示全部楼层
谢谢作者大大
回复
使用道具
举报
柚柚切克闹
柚柚切克闹
当前离线
积分
0
0
主题
1
帖子
0
积分
新手上路
新手上路, 积分 0, 距离下一级还需 50 积分
新手上路, 积分 0, 距离下一级还需 50 积分
积分
0
发消息
发表于 2022-12-21 16:02:15
|
显示全部楼层
引用一下
回复
使用道具
举报
好的世界
好的世界
当前离线
积分
0
0
主题
1
帖子
0
积分
新手上路
新手上路, 积分 0, 距离下一级还需 50 积分
新手上路, 积分 0, 距离下一级还需 50 积分
积分
0
发消息
发表于 2022-12-21 16:02:55
|
显示全部楼层
感谢 大物pre参考一下
回复
使用道具
举报
丹尼老爹
丹尼老爹
当前离线
积分
10
1
主题
5
帖子
10
积分
新手上路
新手上路, 积分 10, 距离下一级还需 40 积分
新手上路, 积分 10, 距离下一级还需 40 积分
积分
10
发消息
发表于 2025-12-15 16:47:55
|
显示全部楼层
呵呵。。。
回复
使用道具
举报
伴糖
伴糖
当前离线
积分
21
1
主题
10
帖子
21
积分
新手上路
新手上路, 积分 21, 距离下一级还需 29 积分
新手上路, 积分 21, 距离下一级还需 29 积分
积分
21
发消息
发表于 2025-12-15 23:06:05
|
显示全部楼层
佩服佩服!
回复
使用道具
举报
一笔定乾坤
一笔定乾坤
当前离线
积分
29
3
主题
14
帖子
29
积分
新手上路
新手上路, 积分 29, 距离下一级还需 21 积分
新手上路, 积分 29, 距离下一级还需 21 积分
积分
29
发消息
发表于
15 小时前
|
显示全部楼层
呵呵,低调,低调!
回复
使用道具
举报
少年风
少年风
当前离线
积分
22
1
主题
11
帖子
22
积分
新手上路
新手上路, 积分 22, 距离下一级还需 28 积分
新手上路, 积分 22, 距离下一级还需 28 积分
积分
22
发消息
发表于
5 小时前
|
显示全部楼层
沙发???
回复
使用道具
举报
幽香居士
幽香居士
当前离线
积分
18
1
主题
9
帖子
18
积分
新手上路
新手上路, 积分 18, 距离下一级还需 32 积分
新手上路, 积分 18, 距离下一级还需 32 积分
积分
18
发消息
发表于
1 小时前
|
显示全部楼层
顶起出售广告位
回复
使用道具
举报
返回列表
高级模式
B
Color
Image
Link
Quote
Code
Smilies
您需要登录后才可以回帖
登录
|
立即注册
本版积分规则
发表回复
回帖后跳转到最后一页
浏览过的版块
篮球
足球
健身
网球
乒乓球
快速回复
返回顶部
返回列表